Q-ACSM 对不同氧化态腔室生成 SOA 的敏感性研究
一、研究背景与目的
1. 有机气溶胶(OA)的重要性与研究挑战
•环境与健康影响:OA是大气亚微米颗粒物的主要成分(占比20%-90%),可通过直接影响太阳辐射和间接影响云微物理过程改变气候,还可能对人体健康产生不利影响,且中国雾霾事件在很大程度上由二次有机气溶胶(SOA)驱动。
•测量难点:OA含无数化学物种,寿命短、在大气中转化快,传统离线测量技术(如基于过滤器的GC/MS、LC/MS等分析)无法捕捉其动态变化,现有在线仪器(如PILS、OC/EC分析仪)也存在局限(如PILS仅能分析水溶性成分,OC/EC分析仪仅能量化总有机碳且信息有限)。
2. 研究目的
•全面探究使用四极杆气溶胶化学 speciation 监测仪(Q-ACSM)量化SOA的准确性。
•分析Q-ACSM对不同氧化态SOA的敏感性,明确影响Q-ACSM灵敏度的因素(如相对电离效率RIE、收集效率CE),为Q-ACSM的校准和SOA准确测量提供依据。
二、实验方法
1. 实验装置
(1)腔室设置(Chamber Setup)
•类型与规格:4.5m³可折叠常压含氟聚合物(特氟龙)烟雾腔,尺寸为长1.8m、宽1.5m。
•清洁与准备:每次实验前,用黑光灯UV灯照射并暴露于高浓度(几ppmv)O₃中清洁6小时以上,再用零空气发生器(Acdco 737)产生的纯空气冲洗,直至腔内颗粒物浓度低于10个/cm³。
•混合与环境控制:腔室底部中心装有特氟龙涂层风扇以快速混合反应物,温度维持在20±1°C,相对湿度(RH)维持在10%-15%。
(2)SOA生成(SOA Generation)
•前体物与溶剂:选用α-蒎烯(Sigma-Aldrich,>98%)、异戊二烯(Sigma-Aldrich,>98%)、甲苯(Sigma-Aldrich)三种挥发性有机化合物(VOC),分别代表生物源和人为源VOC;将其溶解在环己烷(TEDIA Inc,HPLC级>99.5%)中。
•氧化剂与引发方式:
臭氧(O₃):通过低压汞灯照射纯氧(O₂)生成,使用时先向腔室注入OH自由基清除剂环己烷。
羟基自由基(OH):先注入少量自制亚硝酸甲酯,再打开腔室周围黑光灯几分钟引发OH氧化反应。
•浓度控制:VOC前体物浓度设为大气相关水平(α-蒎烯10-60ppbv、异戊二烯60-200ppbv、甲苯30-0ppbv),氧化剂浓度控制为O₃ 50-80ppbv、亚硝酸甲酯50-300μL,通过改变VOC前体物与氧化剂的比例实现不同SOA氧化态。
(3)Q-ACSM操作(Q-ACSM Operation)
•采样参数:采样间隔为8-15分钟(取决于腔室内颗粒物质量浓度),采样管为6.3mm外径、0.8m长的不锈钢管,采样流量为1L/min(原1为3L/min,调整后可减少从腔室抽出的总气体量)。
•校准:每次实验前后,使用硝酸铵(NH₄NO₃)按照Ng等人(2011)的方法校准Q-ACSM对NO₃⁻的电离效率;实验前利用氮(N)峰(m/z=28)和内标萘峰(m/z=128)进行质量校准,数据分析前校准Q-质谱仪的质量相关传输效率;计算测量的有机质量浓度时,采用默认的RIE值1.4和CE值0.5。
(4)气溶胶质量测量(Aerosol Mass Measurement)
•扫描迁移率粒子粒径谱仪(SMPS):由差分迁移率分析仪(DMA,TSI Model 3081)和冷凝粒子计数器(CPC,TSI Model 3776)组成,用于实时监测15nm-650nm颗粒物的数粒径分布,假设颗粒物为球形推导气溶胶体积浓度,时间分辨率为5分钟。
•气溶胶粒子质量分析仪(APM):Kanomax Model 3601型APM与DMA(TSI Model 3081)、CPC(TSI Model 3776)结合使用,确定颗粒物质量,再根据测量的迁移直径计算颗粒物有效密度(DeCarlo等人,2004;McMurry等人,2002);每次实验中,手动将APM分析的颗粒物直径设为SMPS测量的颗粒物数粒径分布峰值(因颗粒物在腔室内持续生长),一次DMA-APM扫描约需5分钟,根据测量的颗粒物体积浓度和相应有效密度计算颗粒物质量浓度。
2. 实验设计与数据处理
•实验数量与持续时间:共进行14次独立腔室实验,每次实验持续4-6小时,直至f44(m/z 44信号占总有机离子信号强度的比例)、有效密度和质量浓度达到相对稳定状态;为研究CE对Q-ACSM灵敏度的影响,还进行了9次注入硫酸铵((NH₄)₂SO₄)种子颗粒的腔室实验。
•数据筛选与分析:仅使用相对稳定状态下的数据进行线性相关分析以确定Q-ACSM的响应因子(RF);通过对比不同VOC/氧化剂比例下的实验结果,分析SOA氧化态(用f44表示)对Q-ACSM检测灵敏度的影响;在硫酸铵种子颗粒实验中,根据SOA涂层前后Q-ACSM测量的硫酸盐质量浓度变化推导SOA的CE。

(图1)
三、实验结果与讨论
1. Q-ACSM响应因子的确定
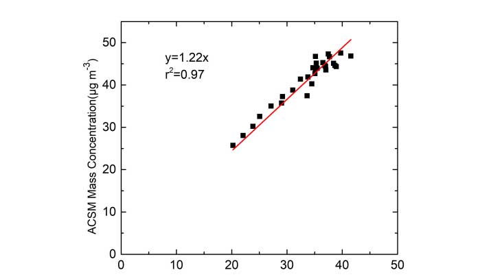
•典型实验现象:以注入80ppbv O₃和20ppbv α-蒎烯的实验为例,注入后不久发生强烈成核事件,呈现典型“香蕉形”三维数粒径分布图;随着臭氧化反应进行,气溶胶粒径和质量浓度快速增加(尤其在初始2小时内),气溶胶有效密度也因颗粒物更致密且接近球形而增加;初始f44值较高,可能是由于初始生成的SOA因气/粒分配而高度氧化(Shilling等人,2009a),后续f44在0.115-0.135间波动,表明•实验期间气溶胶氧化态变化不大;2-3小时后,气溶胶达到相对稳定状态,粒径为80-100nm,质量浓度增至40-50μg/m³,有效密度约为1.2g/cm³,f44约为0.13,此时通过线性相关分析确定Q-ACSM的RF(图3)。
实验条件多样性:实验使用的VOC涵盖生物源和人为源,包括α-蒎烯、异戊二烯和甲苯,除甲苯仅研究OH反应外,其余两种VOC均研究了臭氧化和OH引发的氧化过程,且VOC前体物和氧化剂浓度均设为大气相关水平,避免二次VOC氧化产物干扰。

(图3)
2. f44的影响(SOA氧化态的影响)
•RF与f44的关系:对于每种VOC/氧化剂组合,通过改变VOC与氧化剂的相对浓度比进行多次实验,发现生成的SOA特性(尤其Q-ACSM的RF)随f44变化显著,所有腔室生成的SOA的Q-ACSM RF随f44增加呈线性下降(图5a)。
•有效密度与f44的关系:所有腔室生成的SOA有效密度在1.09-1.36g/cm³之间,比Zelenyuk等人(2008)报道的生物源SOA有效密度(1.22-1.28g/cm³)和Kiendler-Scharr等人(2009)报道的(1.3±0.1g/cm³)范围更广;且SOA有效密度随f44增加呈线性增加(图5b),这可能是因为氧化剂越多,生成的高氧化产物越多,形成的SOA更致密。
•结论与启示:大气SOA的氧化态和有效密度可能因不同环境氧化条件而显著变化,并在老化过程的不同阶段动态变化,因此使用恒定转换因子的Q-ACSM量化环境OA可能导致气溶胶质量浓度的显著误差,需用实验室生成的、来自不同VOC前体物且在不同大气相关反应条件下的气溶胶对Q-ACSM的OA响应因子进行系统校准;Q-ACSM对OA的RF可表示为硝酸盐的电离效率(IEₙₒ₃)、OA的相对电离效率(RIEₒᵣ₉)和OA的收集效率(CEₒᵣ₉)的乘积(RF=IEₙₒ₃•RIEₒᵣ₉•CEₒᵣ₉),IEₙₒ₃可在实验前后校准且与OA特性无关,而RIEₒᵣ₉和CEₒᵣ₉可能随OA样品不同而变化,因此RF与f44的负相关可能由CE或RIE引起。

图5
3. CE的影响(收集效率的影响)
•实验设计与现象:通过注入硫酸铵(AS)种子颗粒的腔室实验研究CE对RF与f44负相关的贡献,与之前实验不同,在生成SOA前向腔室注入雾化的干燥AS种子颗粒,气相产物会凝结在AS种子表面而非引发新颗粒形成;完全被SOA包覆后,Q-ACSM测量的硫酸盐质量浓度会因CEₛₒ₄²⁻变化而变化,进而可推导SOA材料的CE;典型实验中,初始注入AS种子气溶胶时,ACSM测量的硫酸盐质量浓度约为35μg/m³,注入VOC前体物后,ACSM测量的硫酸盐快速增至约50μg/m³,且SOA持续生成过程中f44变化不大,可据此评估特定f44下的CE(图6)。
•CE的影响因素:CE的绝对值准确性依赖于CEₛₒ₄²⁻和RIEₛₒ₄²⁻,CE随RH变化(Matthew等人,2008),本实验中RH<15%时CE测量值为0.28;采用其他研究(Canagaratna等人,2007;Ng等人,2011;Petit等人,2015)建议的RIEₛₒ₄²⁻值1.15,虽近期研究表明RIE可能因仪器而异(Budisulistiorini等人,2014;Crenn等人,2015),但本研究仅关注硫酸盐浓度的相对变化,不影响结论;CEₒᵣ₉受SOA涂层厚度影响(图7),涂层厚度决定SOA包覆AS颗粒的混合状态:当涂层材料不足以完全覆盖种子颗粒时,种子核心可能直接撞击收集表面,表现为AS颗粒特性;当添加大量VOC前体物(极端条件实验,图7中红点),AS气溶胶被SOA完全覆盖,表现为纯SOA特性,CE接近1(约0.97),此时SOA可能呈“粘性”液态,但因与负载相关的气-粒分配(Shilling等人,2009b),无法获得更高f44值,难以通过实验解决f44对CE的影响;当涂层厚度足以覆盖AS核心时(图7中浅蓝色点),CE随f44增加从1降至约0.5,但仍存在CE值是AS核心和有机壳层共同作用结果的可能性。
•与现有研究的对比:基于腔室实验(Kiendler-Scharr等人,2009)和亚马逊地区的野外测量(Allan等人,2014;Chen等人,2009),生物源SOA的CE被认为接近1(此时气溶胶以液态SOA为主);但近期理论、腔室和野外研究表明,在环境温度下,有机颗粒可能呈半固态或固态而非液态(Shiraiwa等人,2011;Vaden等人,2010;Virtanen等人,2010),与本实验中高氧化态SOA CE降低的结果一致。
•SOA相变与CE的关联:环境条件下VOC的氧化产物主要为羰基化合物和羧酸(Finlayson-Pitts和Pitts,1999),其饱和蒸气压随氧化程度增加而降低;随着SOA氧化程度提高,在环境温度下可能从液态逐渐转变为固态,这与本实验中高氧化态SOA有效密度更高的观察结果一致;SOA从“粘性”液滴转变为“弹跳”固体球时,表面性质发生显著变化,可能导致CE发生较大变化;基于玻璃化转变温度(T₉)的颗粒形态研究表明,氧化过程中SOA颗粒会从液态变为半固态,变为固态或玻璃态(Koop等人,2011),这是分子量和O/C比共同增加的结果;此前研究也表明,CE因颗粒化学组成、相态和RH不同而变化,范围在0.2-1之间(Alfarra,2004;Docherty等人,2013)。

4. RIE的影响(相对电离效率的影响)
•RIE的计算与特性:特定分子的RIE可通过公式计算(Canagaratna等人,2007;Jimenez等人,2003),其中RIEs为特定有机分子S的相对电离效率,IEs和MWs分别为S的电离效率和分子量;理论上,IEs与分子的电子碰撞电离截面σ直接相关,而σ与分子中的电子数线性相关,电子数又大致与分子量成正比,因此结构和官能团相似的分子的RIEs相似。
•RIE与SOA氧化态的关系:烃类和含氧化合物的RIEs不同(因氧含量差异显著)(Canagaratna等人,2007),范围从小于1到大于3(Dzepina等人,2007;Jimenez等人,2016;Slowik等人,2004);随着SOA氧化态增加(O/C比升高),SOA从类烃OA(HOA)向高氧化OA(OOA)转变,含氧量增加,RIE可能显著降低,因此RF与f44的负相关也可能与氧含量相关的不同RIEs有关。
四、结论
1. Q-ACSM灵敏度与SOA氧化态的关系:无论VOC前体物类型如何,Q-ACSM对腔室生成的不同氧化态SOA的敏感性均与SOA氧化态(用f44表示)呈负相关,即SOA氧化程度越高,Q-ACSM的响应因子(RF)越低。
2. 传统校准方法的局限性:使用恒定转换因子的Q-ACSM量化环境OA可能导致气溶胶质量浓度的显著误差;早期基于SMPS测量的质量浓度进行AMS校准也可能存在较大误差,因为不同氧化态SOA的有效密度变化显著。
3. 影响Q-ACSM灵敏度的关键因素:
收集效率(CE):低氧化态SOA基本呈液态,CE接近1;随着O/C比增加,SOA逐渐从液态转变为半固态,变为固态/玻璃态,CE降至0.2-0.5。
相对电离效率(RIE):有机物的RIE从类烃化合物到含氧化合物显著降低,O/C比进一步增加时,RIE仅以较慢速率继续降低;RF与O/C比的负相关是CE和RIE共同作用的结果。
4. 校准改进建议:Q-ACSM对OA的RF需用实验室生成的、来自不同VOC前体物且在不同大气相关反应条件下的气溶胶进行系统校准;传统方法校准的Q-ACSM可能低估OOA含量而高估HOA含量,因此对HOA和OOA应采用不同的RIE值。